Next: Optimization of AR parameters
Up: Exchange Rate Forecasting, Time
Previous: Definition of Residuals
Minimization of Residuals of ARMA Models
We consider an algorithm for optimization of parameters of the ARMA model.
This model is simple and may be regarded as a good first approximation.
Denote by
the value of
at the moment
. Denote by
a vector
of auto-regression (AR) parameters, and by
a vector of moving-average (MA) parameters.
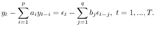
 |
|
|
(5) |
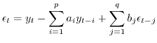
The residual
 |
|
|
(6) |
or
 |
|
|
(7) |
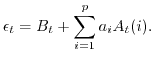
Here
 |
|
|
(8) |
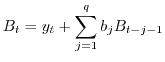
and
 |
|
|
(9) |
where
and
.
Subsections
Next: Optimization of AR parameters
Up: Exchange Rate Forecasting, Time
Previous: Definition of Residuals
mockus
2008-06-21