Next: Evaluation of ARMA Prediction
Up: Minimization of Residuals of
Previous: Optimization of MA parameters
Predicting "Next-Day" Rate
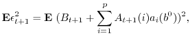
We minimize the expected "next-day" squared deviation
using the data available at the moment
 |
|
|
(18) |
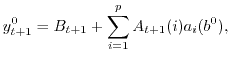
Here
 |
|
|
(19) |
where the optimal parameter
was obtained using the data available at the day
.
Variance (1.20) is minimal, if
 |
|
|
(20) |
because the expectation of
is
under the assumptions.
mockus
2008-06-21