next up previous
Next: Minimization of Residuals of Up: Auto-Regression Moving-Average Models (ARMA) Previous: Definitions

Definition of Residuals

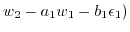
One of the advantages of residual minimization is that one may see directly how the objective depends on unknown parameters. Using equalities (1.1) we define residuals by recurrent expressions:

      (3)
$\displaystyle \epsilon_1$ $\textstyle =$ $\displaystyle w_1$  
$\displaystyle \epsilon_2$ $\textstyle =$ $\displaystyle w_2-a_1 w_1 - b_1 \epsilon_1)$  
    $\displaystyle ..........................................$  
$\displaystyle \epsilon_t$ $\textstyle =$ $\displaystyle w_t-a_1 w_{t-1} - ... -a_p w_{t-p} -
b_1 \epsilon_{t-1} - ... - b_q \epsilon_{t-q}.$  

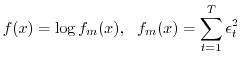
Next the sum
$\displaystyle f(x)=\log f_m(x),\ \ f_m(x)= \sum_{t=1}^T \epsilon_t^2$     (4)

is minimized.

The logarithm is used to decrease the objective variation by improving the scales.



mockus 2008-06-21