Next: Optimization of MA parameters
Up: Minimization of Residuals of
Previous: Minimization of Residuals of
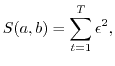
Denote
 |
|
|
(10) |
where
and
.
From expressions (1.11) and (1.8)
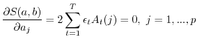
the minimum condition is
 |
|
|
(11) |
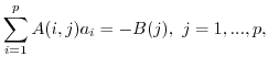
or
 |
|
|
(12) |
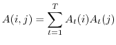
where
 |
|
|
(13) |
and
 |
|
|
(14) |
The minimum of expression (1.11) at fixed parameters
is defined
by a system of linear equations:
 |
|
|
(15) |
Here matrix
and vector
,
where elements
are from (1.14), components
are from (1.15), and
is an inverse matrix
.
This way one define the vector
that minimize sum (1.11) at fixed parameters
.
Next: Optimization of MA parameters
Up: Minimization of Residuals of
Previous: Minimization of Residuals of
mockus
2008-06-21