next up previous
Next: Example of Structural Optimization Up: Structural Stabilization Previous: Stabilization of Structures of

Simple Example

Consider, for illustration, a simple example.

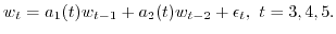
$\displaystyle w_t=a_1(t)w_{t-1}+a_2(t)w_{t-2}+\epsilon_t,\ t=3,4,5.$     (55)

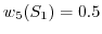
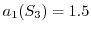
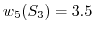
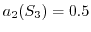
The observed values are $w_1=-1,\ w_2=w_3=1,\ w_4=2,\ w_5=1$. The first data set $W_0={w_i,...,w_4}$ is for estimation of continuous parameters $C=(a_1,a_2)$ The second data set $W_1={w_5}$ is for estimation of Boolean parameters $ S=(s_1^a,s_2^a), \ s_i^a={0,1}$, where $s_i^a=0$ suggest elimination of the continuous parameter $a_i$. There are three feasible $S$, namely $S_1=(0,1),\ S_2= (1,0),\ S_3= (1,1)$[*].

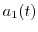
Assume that unknown parameters depend on $t$ this way

$\displaystyle a_1(t)$ $\textstyle =$ $\displaystyle \cases {2,$ (56)

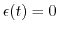
$a_2(t)=1$ and $\epsilon(t)=0$.

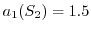
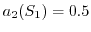
In a case $S=S_3$ the least square estimates are $a_1(S_3)=1.5$ and $a_2(S_3)=0.5$. The prediction is $w_5(S_3)=3.5$.

In a case $S_1$ the least square estimate of the only remaining parameter is $a_2(S_1)=0.5$ and the prediction is $w_5(S_1)=0.5$.

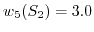
In a case $S_2$ the least square estimate is $a_1(S_2)=1.5$ and the prediction is $w_5(S_2)=3.0$.

The best prediction $w_5(S_1)=0.5$ is provided by the structure $S_1=(0,1)$. The reason is obvious: this structure eliminates the highly unstable parameter $a_1$. Applying the structural stabilization one eliminates the nuisance parameter $a_1(t)$ and simplifies AR model (1.57)

$\displaystyle w_t=a_2(t)w_{t-2}+\epsilon_t,\ t=3,4,5.$     (57)

Note that we eliminate the larger parameter $a_1$ ( $a_1(S_2) = 1.5 > a_2(S_2)=0.5$) because it changes (see expression 1.58).

Various examples of structural optimization are described in [13] In the next section the structural optimization will be illustrated considering the case with external factors


next up previous
Next: Example of Structural Optimization Up: Structural Stabilization Previous: Stabilization of Structures of
mockus 2008-06-21