Next: Minimization of Residuals
Up: Auto-Regression Fractionally-Integrated Moving-Average Models
Previous: Auto-Regression Fractionally-Integrated Moving-Average Models
The stationarity of time series is assumed in ARMA, ANN, and BL models. That is a simplification of reality.
A well known source of non-stationarity is a linear component, the trend.
One can eliminate the trend by differencing, since derivatives of linear functions are constant. The elegant extension of this idea is the
Auto-Regression Fractionally-Integrated Moving-Average Model (ARFIMA).
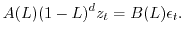
We define an ARFIMA
process as the folowing time series

 |
|
|
(35) |
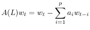
Here
 |
|
|
(36) |
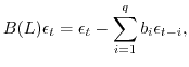
and
 |
|
|
(37) |
where
.
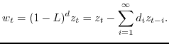
We define the transformation
as follows:
 |
|
|
(38) |
Here
 |
|
|
(39) |
where
is a fractional integration parameter, and
is a
gamma function.
We assume that
 |
|
|
(40) |
We truncate sequence (1.39)
 |
|
|
(41) |
Here
is the truncation parameter, the number of non-zero components.
Next: Minimization of Residuals
Up: Auto-Regression Fractionally-Integrated Moving-Average Models
Previous: Auto-Regression Fractionally-Integrated Moving-Average Models
mockus
2008-06-21