Next: Artificial Neural Networks Models
Up: Exchange Rate Forecasting, Time
Previous: Missing Data
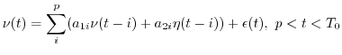
Omitting the delay
in expression (1.22) we write
 |
|
|
(26) |
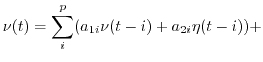
Including this expression into the ARMA model (1.6) one obtains the following expression
 |
|
|
|
 |
|
|
(27) |
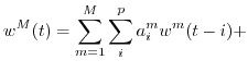
Extending expression (1.28) to
external factors
 |
|
|
|
 |
|
|
(28) |
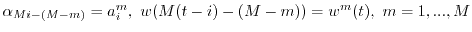
In expression (1.29) the predicted and the external factors are denoted by the same letter
with different upper indices.
This case can be represented as the one-dimensional time series of the special type
 |
|
|
|
 |
|
|
(29) |
Here
and the
index
. This expression gives the possibility to apply the software developed for the one-dimensional ARMA model
to the case of
external factors by representing the data file in the way corresponding to the expression (1.30).
Next: Artificial Neural Networks Models
Up: Exchange Rate Forecasting, Time
Previous: Missing Data
mockus
2008-06-21