Next: Missing Data
Up: Exchange Rate Forecasting, Time
Previous: Evaluation of ARMA Prediction
External Factors
Often we have to predict one main factor
which depends on some external factors.
This means that we are not interested in future values of external factors while predicting the main one.
For example, we predict the stock rate as the main factor depending
on the GNP as the external factor.
We consider the cases when future values of all the factors are not known. Regarding the cases when future values of external factors are known
the model should be modified accordingly.
Different symbols are used, regarding the ARMA model with external factors.
The predicted value is denoted by
and the external factors as
.
An influence of some external factors may be delayed.
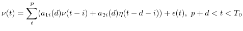
For illustration, consider two-dimensional case,
omitting the Moving Average (MA) part. This means the two-dimensional Auto Regression (AR) model with an external factor
 |
|
|
(21) |
Here
is the delay parameter.
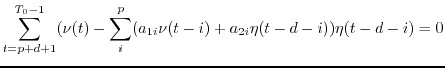
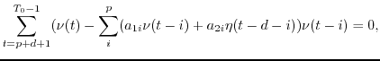
First we minimize the squared deviation
at fixed delay
and then
chose the optimal delay
.
The minimum of sum (1.22), as a function of parameters
, is defined by the system of linear equations. which are
These are obtained from the condition that all the partial derivatives are zero
We have to solve
linear equations with
variables
and obtain the least squares estimates
at given
.
Sum (1.25), as a function of delay parameter
,
is not necessarily uni-modal one. Thus to define the exact minimum
 |
|
|
(24) |
one should consider all the
values of the integer
.
Here
is a number of "interesting" values of
.
Therefore expression (1.25) is an example of multi-modal function in the AR models.
We mentioned the delay time just to show a way how to include this important factor into a time series model.
Later on the delay factor will be omitted, to simplify the expressions.
Subsections
Next: Missing Data
Up: Exchange Rate Forecasting, Time
Previous: Evaluation of ARMA Prediction
mockus
2008-06-21