next up previous
Next: "Surrogate" Services Up: Call Center Model. Previous: Calculation of Stationary Probabilities

Asymptotic Expressions

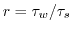
If the number $r$ of waiting places is very large one may consider asymptotic expressions ( $r \rightarrow \infty,\ \rho < m$) as a reasonable approximation. The asymptotic values will be denoted by the symbol $\infty$. They are used to test software designed for finite $r$ by fixing $r$.

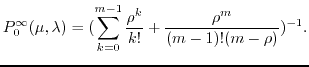
The no-calls probability

$\displaystyle P_0^{\infty}(\mu,\lambda
)=(\sum_{k=0}^{m-1} \frac {\rho^k}{ k!} +\frac {\rho^m}{(m-1)! (m-\rho)})^{-1}.$     (71)

The average waiting time
$\displaystyle T(m,\infty,\mu,\lambda)=\frac {\rho^m}{m!m\mu (1-\rho / m)^2} P_0^{\infty}(\mu,\lambda) .$     (72)

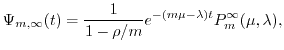
The waiting time distribution functions
$\displaystyle F_{m,\infty}(t)=P_{m,\infty}(\mu,\lambda)\{\tau<t\}$      
$\displaystyle =1-\Psi_{m,\infty}(t),$      
$\displaystyle \Psi_{m,\infty}(t)= \frac{1}{1-\rho /m} e^{-(m \mu - \lambda) t} P_{m}^{\infty}(\mu,\lambda),$     (73)

Here
$\displaystyle P_m^{\infty}(\mu,\lambda)=\frac {
\rho^m}{m!} P_0^{\infty}(\mu,\lambda) .$     (74)

The asymptotic probability of losing a call is zero.



mockus 2008-06-21