Next: Asymptotic Expressions
Up: Call Center Model.
Previous: Assumptions, Notations, and Objectives
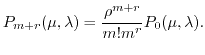
Under these assumptions (see [19]) the probability
of
calls in the system, including both, waiting calls and calls in services
where
.
The no-calls probability
 |
|
|
(64) |
follows from the condition
 |
|
|
(65) |
The probability of losing a call at given numbers
is
 |
|
|
(66) |
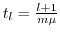
The average waiting time
 |
|
|
(67) |
where
is defined by expression (2.3) and
.
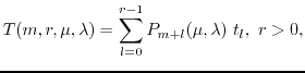
The waiting time distribution functions
 |
|
|
|
 |
|
|
(68) |
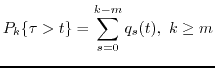
Here
denotes the probability that waiting time
will exceed some fixed
under condition that there are
calls
 |
|
|
(69) |
where
is the probability that
calls will be served during the time
 |
|
|
(70) |
Next: Asymptotic Expressions
Up: Call Center Model.
Previous: Assumptions, Notations, and Objectives
mockus
2008-06-21