Next: Auto-Regression Fractionally-Integrated Moving-Average Models
Up: Exchange Rate Forecasting, Time
Previous: Involving Auto Regression (AR)
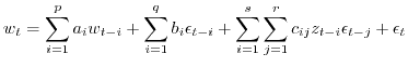
Bilinear Models (BL)
It is well known that for the adequate description of some phenomena
additional non-linear terms of the time series could be of use.
A simple example is to add a bilinear term (see [16,12]).
Here are bilinear time series extending the ARMA model:
 |
|
|
(34) |
For an illustrative example of the bilinear time series see [].
mockus
2008-06-21