Vytauto Didizojo Universitetas
Informatikos fakultetas
Operaciju tyrimas ir Losimu Teorija
PORTFELIO UZDAVINYS
Kaunas, 1997
Matematinis pagrindas
Portfelio uzdavinio tikslas yra maksimuzuoti naudinguma pasirenkant optimalia investicija arba suformuoti investiciju paketa (portfeli).
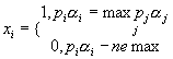
Tegul:
xi - investicija i I-taji banka (xi = 0)
pi - banko patikimumas
ai - palukanos
![]()
tada naudinguma galime aprašyti, kaip funkcija
U(x), U(x) = E
![]()
![]()
Ir tada tikslas yra maksimizuoti si naudinguma:
![]()
su salyga, kad
; ![]()

U?davinio sprendimo realizacija
Uzdavinio sprendime panaudoti realiu Lietuvos banku duomenys. Analizuojami sie bankai:
Lenteleje pateikta informacija apie nagrinejamus bankus:
|
Hermis |
Siauliu b. |
Ukio b. |
Vilniaus b. |
LTB |
LZUB |
|
|
Paskolos |
361633000 |
49480000 |
120054000 |
477184000 |
564608000 |
808263000 |
|
Blogos paskolos |
41682800 |
696800 |
6841000 |
35402800 |
47817000 |
85431000 |
|
Kapitalas |
741614000 |
95093000 |
216860000 |
1121016000 |
1428075000 |
1336420000 |
|
Depozitai |
54248000 |
40603000 |
168497000 |
777898000 |
1300958000 |
1163036000 |
|
Aprausti Depozitai |
1245600 |
624500 |
1150100 |
1711000 |
1265400 |
1078000 |
|
Akcijos |
1087350 |
680420 |
3500000 |
2038000 |
600000 |
732546 |
|
Veiklos išlaidos |
9366000 |
1814000 |
5852000 |
13161000 |
23318000 |
19572000 |
|
Veiklos pajamos |
32985000 |
4264000 |
7945000 |
48513000 |
54164000 |
71260000 |
|
Mokamos palukanos |
7,5% |
10,5% |
10,0% |
7,2% |
6,0% |
5,7% |
Banku patikimumas skaiciuojamas sudedant su atitinkamais svoriais banku rizikas
Riziku svoriu vertes:
|
|
Kredito rizika |
Likvidumo rizika |
Palukanu normos rizika |
Pajamu rizika |
Nemokumo rizika |
|
Svoris |
0,25 |
0,35 |
0,30 |
0,05 |
0,10 |
![]()
![]()
![]()
![]()
![]()
![]()
Banko patikimumas = k * ki + l * li + pn * pni + p * pi + n * ni
kur
k - Kredito rizika
l - Likvidumo rizika
pn - Palukanu normos rizika
p - Pajamu rizika
n - Nemokumo rizika
ki - Kredito rizikos svoris
li - Likvidumo rizikos svoris
pni - Pal?kan? normos rizikos svoris
pi - Pajam? rizikos svoris
ni - Nemokumo rizikos svoris
C++ ir JAVA realizaciju palyginimas
Uzdavinys buvo realizuotas C++ ir JAVA kalbomis. C++ realizacija paruosta naudojimui integruotoje sistemoje sukurtoje UNIX X-Windows platformai. JAVA realizacija paruosta naudojimui internete nepriklausomai nuo kompiuterio operacines sistemos ir platformos JAVA palaikancios WWW perziuros programos pagalba. Tiek C++, tiek JAVA versijos sukurtos naudojant ta pati algoritma ir tokias pacias duomenu strukturas, todel galima palyginti abieju versiju darbo greiti.
Bendru atveju C++ parasyta programa yra apie 30% greitesne negu JAVA, taip yra todel, kad programos vykdymas atliekamas betarpiskai kompiuterio procesoriaus, o JAVA atveju taip vadinamas Java byte kodas vykdomas "interpretatoriaus".
C++ versija patogiau naudoti kai turimas geras rysys su centriniu kompiuteriu (tinklo terminalas, vietinis kompiuteris). Siuo atveju skaiciavimai vykdomi serveryje ir vartotojui pateikiami rezultatai. Jei rezultatu yra daug, apkraunamas kompiuterinis tinklas, todel yra butinas geras rysys (pralaidus tinklas). Esant dideliam apkrovimui duomenu perdavimas uztruks ilgiau negu patys skaiciavimai, todel vartotojui atrodys kad C++ versija dirba leciau nei JAVA.
JAVA versija patogiau naudoti prisijungiant personaliniu arba tinkliniu kompiuteriu per Interneta. siuo atveju programa yra vykdoma lokaliame kompiuteryje ir tokiu budu neapkraunamas tinklas.
Naudingiausias investiciju portfelis
Programos veikimo metu gaunas naudingiausias investiciju paketas (portfelis). Naudingiausias investiciju portfelio islosimas yra lygus:
Y=-0.0951789
Sis islosimas yra gaunamas esant tokioms naudingumu reiksmems:
|
Bankas |
Hermis |
Siauliu b. |
Ukio b. |
Vilniaus b. |
LTB |
LZUB |
|
Parametras programoje |
X(1) |
X(2) |
X(3) |
X(4) |
X(5) |
X(6) |
|
Naudingumas |
-0.936 |
-0.010 |
0.8090 |
0.2541 |
-0.912 |
-0.921 |
Programos Darbo rezultatu pavyzdys
Cia pateikti programos darbo rezultatai (Konvergencijos kreive ir projekcija). Rezultatai yra gauti du kartus Ivykdzius programa
|
Konvergencija 1 |
Projekcija 1 |
|
|
|
|
Konvergencija 2 |
Projekcija 2 |
|
|
|