Figūrų ir formų palyginimo testas
Pacientams, turintiems regėjimo suvokimo sutrikimų, o taip pat ir galvos smegenų pakenkimų buvo atliekamas kompiuterinis figūrų - formų palyginimo testas, kurio detalus apraymas yra pateiktas bakalauro tezėse "Kompiuterizuota interaktyvi sistema žmogaus galvos smegenų regos centrų anomalijoms testuoti, diagnozuoti ir reabilituoti", 1997, Rasa Ruseckaitė.
Buvo nustatyta, kad žmonės, turintys tuos pačius galvos smegenų pakenkimus, linkę panaiai atsakyti į regėjimo suvokimo testo klausimus. Tai galima pagrįsti tuo, regėjimo suvokimas yra atitinkamų galvos smegenų dalių funkcija. Minėtas testas buvo pasirinktas remiantis R.Loginovič (1993), A.Bulatov, A.Bertulio (1996) praktika. ie mokslininkai įrodinėjo
, kad figūrų - formų palyginimo faktorius gali būti naudojamas epileptiniams sindromams atpažinti.is testas anksčiau buvo daromas rankiniu būdu: ant popieriaus lapo buvo dėliojami įvarių spalvų ir dydžių geometrinės figūros - kvadratai, trikampiai, apskritimai. Buvo tikrinama, kokiu tikslumu ligoniai gali sulyginti 2 kvadratus, o po to 2 vertikalias linijas. Testuojamieji stebėjo pavyzdžius abiem akimis i vieno metro atstumo ir prilygindavo kvadrato dydį kairėje kvadrato dydžiui deinėje. Tačiau laikui bėgant paaikėjo, kad is testavimo būdas buvo neefektyvus - nebuvo galima gauti tikslių rezultatų, nebuvo galima juos palyginti su kitų testų rezultatais, juo labiau - su kitų asmenų rezultatais.
Testo forma buvo pasirinkta pagal gydytojų pageidavimą. Ekrane pacientui yra rodoma 100 figūrų porų. Kairėje ekrano pusėje rodoma figūra yra vadinama testuojama, o deinėje - kontroline. Kairėje pusėje visada rodoma testuojama figūra, kurios dydžio diapazonas svyruoja nuo 20 iki 248 proporcingai pagal ekrano d
ydį, takų. Testuojamų figūrų yra 20. Jų dydis apskaičiuojamas pagal (1) formulę:T = 20 + 12*I, I=0...19. (1)
Kiekviena i testuojamų figūrų turi po 5 kontrolines figūras, kurios rodomos deinėje ekrano pusėje. Kiekvienos kontrolinės figūros dydis paskai
čiuojamas pagal (2) formulę:K=T+J*5, J=-2..2. (2)
Testuojamas pacientas gali pateikti atsakymą 3 skirtingais variantais - figūros lygios, nelygios, neaiku ar lygios.
Yra galimi 5 testuojamų figūrų tipai:
Figūrų užpildymo tipas:
Galima užpildyti minėtas figūras viena i 16 spalvų. Kokią spalvą pasirinkti, nustato gydytojas. Tai priklauso nuo paciento diagnozės bei savijautos. Pasirinkus vienokį spalvų derinį galima tikėtis visai kitokio rezultato, nei pasirinkus kitokias spalvas.
Mes tyrėme pacientus naudodami tris galimus spalvų derinius:
Minėti spalvų deriniai buvo pasirinkti eksperimentiniu būdu. Daugiausiai pacientų testavome, kuomet ekrano fonas buvo baltas, o kontrolinė ir testuojama figūra buvo juodas kvadratas. Bandėme testuoti ir kitus formų bei spalvų derinius, tačiau tai nebuvo naudinga, kadangi dauguma pacientų sunkiai suprato ką rei
kia frazė "Lygios figūros". Be to, papildomas triukmas (spalvos bei formos) trukdė susikaupti ir pacientų rezultatai žymiai skyrėsi esant tokiai situacijai.Taip pat pastebėjome, kad spalvotos figūros trukdo pacientui susikaupti, o raudonos - žalios spalvų deriniai 9 pacientams iaukė epileptinį priepuolį testavimo metu. į reikinį galima aikinti grindžiant psichologijos dėsniais ir ivadomis apie spalvų suvokimą. Raudona spalva sukelia agresiją, o žalia spalva - yra raminanti. Jų derinys gali neigiama
i atsiliepti paciento, sergančio epilepsija, psichikai ir sudirginti pakenktą smegenų žievę, tuo būdu iaukdamas priepuolį.Todėl ir buvo pasirinktas "juodai - baltų kvadratų" testavimo metodas, kurio rezultatai ir buvo naudojami tolimesniems tyrimams.
Paciento rezultatai buvo užkoduojami -1, 0, 1 skaitmenimis, kur:
ie rezultatai yra naudojami tolimesniam pacientų ligų interpretavimui bei preliminariam diagn
ozavimui.Tuo tikslu buvo naudojami tokie prognozavimo metodai, kaip:
Automatinio diagnozavimo sistemos
Ši programos dalis yra skirta pacientams gautų testavimo rezultatų apibendrinimui, taisyklių sudarymui bei preliminariam paciento diagnozavimui. Speciali diagnozavimo posistemė daro ivadas, bei ieko bendrų sąlyčio takų besiremdama jau turimais pacientų testų rezultatais [3]. Pavyzdžiui, žmonės sergantys smilkininės srities epilepsijomis, yra linkę testavimo metu daryti labai daug klaidų. Tai reikia, jog jeigu kitas pacientas darys tas pačias klaidas, tai jam bus galima įtarti smilkininės srities epilepsiją.
Tokios automatinio diagnozavimo posistemės dirba pagal įvairius algoritmus, kurie gali būti tiek skaitmeniniai, tiek loginiai.
CHARADE algoritmo aprašymas
Algoritmas dirba su testavimo metu gautų rezultatų eilute, peržiūrėdamas kiekvieną i jos parametrų bei kurdamas atitinkamas ivadas. (Jei parametras toks, tai ito seka, kad....). Pradžioje kombinuoti pradedama nuo paprastų atvejų sudėtingumo linkme. Peržiūra vyksta tol kol patikrinamos visos galimos tų parametrų kombinacijos. Pagal atitinkamas kombinacijas yra sudaromos taisyklės.(Jei tokiai kombinacijai egzistuoja tokia klasė, tai kitas pavyzdys su ta pačia kombinacija priklausys iai klasei) ([5],[6]). Pats “CHARADE” algoritmas yra pateikiamas žemiau.
++ l ;
kol galima sukurti taisyklę ir kol peržiūrėtos visos parametrų konjunkcijos;
5. Taisyklių aibę supaprastinti (atmetamos persidengiančios, neinformatyvios taisyklės);
6. ++E[i] }
Algoritmas naudoja paciento testavimo metu gautus duomenis. ie duomenys yra suvedami į specialią parametrų aibę, kurią ir apdoros “
CHARADE" algoritmas. Transformavimas yra reikalingas kompaktikumo hipotezės sąlygai patenkinti. Kitais žodžiais tariant, mes negalime tiesiogiai naudoti testo metu gautų rezultatų, nes kadangi skirtingiems pacientams, nors ir turintiems tuos pačius smegenų žievės pakenkimus, niekada nebus identikos pavienės rezultatų sritys, kai tuo tarpu transformuoti parametrai leidžia daryti vienokias ar kitokias ivadas bendroms klasėms. Transformacija vyksta pagal pav. 2 pateiktą schemą
pav. 2
Mano programoje testo parametrai, tai skaičių masyvas, kuriame pirmąsias pozicijas užima parametrai A0 - A19. A0 - A19 tai teisingų atsakymų procentas kiekvienoje zonoje pav.3

pav.3
Parametrai B0 - B4 nurodo teisingų atsakymų procentą nurodytose srityse, pav.4.

pav.4
Parametrai M_00..M_04, V_00..V_04, V_00..V_04 saugo informaciją apie atliktų klaidų skaičių esant konkretiems kontrolinių figūrų dydžiams, pav.5.

Darbo rezultatai
CHARADE efektyvumui patikrinti buvo dirbama dviem būdais.


Galima teigti, kad klasių skaldymas į poklasius nėra naudingas, nes atpažinimo procentas yra labai mažas. Kur kas geresni rezultatai yra, kuomet analizuojamos penkios, neskaldytos į poklasius, klasės.
Lentelėje 1 yra pateikti statistika, apraanti CHARADE rezultatus, esant 13 klasių. Kairioje pusėje yra pateikta testuotų pacientų skaičius (naudotų algoritmo apmokymui), deinėje - algoritmo atpažintų pacientų skaičius.
|
KLASĖ |
KIEKIS |
KLASĖ |
KIEKIS |
|
ef (buvo) |
40 |
ef (atp.) |
8 |
|
efs (buvo) |
16 |
efs (atp.) |
0 |
|
efd (buvo) |
10 |
efd (atp.) |
0 |
|
et (buvo) |
189 |
et (atp.) |
56 |
|
ets (buvo) |
96 |
est (atp.) |
48 |
|
etd (buvo) |
64 |
etd (atp.) |
24 |
|
eo (buvo) |
16 |
eo (atp.) |
0 |
|
eos (buvo) |
16 |
eos (atp.) |
0 |
|
eod (buvo) |
32 |
eod (atp.) |
24 |
|
ep (buvo) |
8 |
ep (atp.) |
0 |
|
eps (buvo) |
8 |
eps (atp.) |
0 |
|
epd (buvo) |
16 |
epd (atp.) |
7 |
|
sveiki (buvo) |
72 |
sveiki (atp.) |
40 |
Lent.1
Lentelėje 2 pateikti CHARADE rezultatai esant 5 klasėms.
|
KLASĖ |
KIEKIS |
KLASĖ |
KIEKIS |
|
et (buvo) |
352 |
et (atp.) |
320 |
|
ef (buvo) |
64 |
ef (atp.) |
28 |
|
eo (buvo) |
64 |
eo (atp.) |
34 |
|
ep (buvo) |
32 |
ep (atp.) |
8 |
|
sveiki (buvo) |
72 |
sveiki (atp.) |
40 |
Lent. 2
Galima teigti, kad neskaidant klasių į poklasius, atpažinimas yra tikslesnis. CHARADE atpažįsta pagrindines klases daugmaž teisingai.
ARMA modelio aprašymas
Pabandžius prognozuoti pacientų diagnozes naudojant dirbtinio intelekto loginį algoritmą CHARADE, paaikėjo, kad jis nėra patikimas. Jo teikiamomis ivadomis gydytojas negali patikėti, nes taisyklės kai kur persipina, persidengia, arba galutinė prognozė yra pateikiama netikslinga daugeliu atvejų.
Taip pat svarbus ir minėtinas tas faktas, kad dauguma mūsų pacientų testavimo metu gautų rezultatų nepakako algoritmo apmokymui. Kaip minėjau aukčiau, didžioji dauguma sirgo temporalinės smegenų skilties epilepsija, o kitų atvejų buvo daug mažiau. Tai yra nepaaikinamas faktorius, tačiau dauguma žmonių, s
ergančių epilepsija, kenčia nuo temporalinės skilties pakenkimų, todėl tokių pacientų ir yra daugiausia hospitalizuotų.Bet, kita vertus mes negalime daryti skubotų, ivadų, neianalizavę kitų galimų prognozavimo būdų. Vienas i tokių variantų, kuris buvo pasirinktas - tai ARMA modelis, gebantis dirbti su daugeliu faktorių.
ARMA modelis
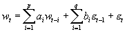
Diagnostikos uždaviniai neretai formuluojami paprastos regresijos terminais nenaudojant laiko eilučių. Laiko eilučių naudojimas būtų labiau pritaikomas prognozuojant orus, kainas arba valiutų kainas, bankų akcijų kainas, kur svarbus faktorius yra prie tai buvusiu laiko tarpsniu prognozuojamos verčių reikmės. ARMA - ifruojamas kaip autoregresijos slenkančio vidurkio modelis. Jis pagrįstas preliminariu prognozavimu
sekančios reikmės prie tai buvusiųjų duomenimis. Tai algoritmas, galintis prognozuoti keletą faktorių vienu metu. Tai yra labai svarbus mano keliamam uždaviniui, kuomet paciento diagnozė yra prognozuojama pagal paciento pateiktus atsakymus.ARMA matematinis modelis yra užraomas pirmąja formule.
(1)
galime teigti, kad:
(2)
a ir b yra modelio parametrai, kurie paprastai yra optimizuojami.
Pirmoji suma (1) - oje formulėje simbolizuoja AR modelį- arba kitaip autoregresijos modelį. Antroji suma su b parametrais - MA modelis, kitaip slenkantis vidurkis.
E - yra skirtumas tarp to, ką prognozuojame, ir tarp to kas reliai egzistuoja. Kitaip tai galima pavadinti ARMA paklaida.
ARMA algoritmas atrodo sekančiai:
Nustatomi modelio parametrai a ir b. Modelio parametrų a ir b nustatymas yra paremtas mažiausių kvadratų metodu.
![]()
Algoritmas gali dirbti su daugeliu faktorių, kas yra svarbu mano uždavinyje. Pacientui yra prognozuojama jo diagnozė remiantis jau turimais duomenimis, pasakant diagnozės tikimybę. Tai yra - algoritmo teikiama ivada yra diagnozių tikimybės priklausančios nuo iorinių faktorių (testavimo metu gautų rezultatų).
Eksperimentai
Nors ARMA-MULT skirta laiko eilučių prognozei, tačiau ja galima panaudoti ir daug paprastesniam uždaviniui - diagnostikai tiesinės regresijos pagalba, kuris reikalingas lyginti su kitais specialiais diagnostikos metodais - CHARADE.
Algoritmui testuoti buvo naudojama sukurta ARMA - MULT versija dirbanti UNIKS operacinėje sistemoje. Programinė įranga yra sukurta taip, kad ja galima naudotis norint nustatyti prognozes, vienkartinei regresijai bei daugkartinei regresijai. Duomenys gali būti dažnai kaitaliojami, neperdirbant pačios programos.
Algoritmo duomenys
Analizuojant CHARADE algoritmo darbo rezultatus, paaikėjo, kad jo kuriamos taisyklės buvo geresnės, kuomet paciento diagnozė būdavo "apibendrinama", natūraliai ikilo poreikis patikrinti ią ivadą remiantis ARMA algoritmu
.Taigi algoritmo darbui vertinti naudojau 5 diagnozes:
Aukčiau paminėti pakenkimai (klasės) nėra skaidomi į poklasius (kairės arba deinės skilties pakenkimas).
Naudojant ARMA-MULT programinę įrangą, paciento diagnozės preliminari tikimybė gaunama programą vykdant 4 kartus. Kitaip tariant, ARMA yra "praoma" pasakyti prognozuojamos ligos tikimybė. Kiekvienu kart gauname 4 skirtingus skaitmenis (prognozes), kuriuos galima interpretuoti, kaip tikimybes. Didžiausia prognozės skaitinė vertė laikytina paciento diagnoze.
Siekiant didesnio ARMA_MULT programos efektyvumo ir lankstumo, buvo naudojamas viena duomenų byla, kurios struktūra pateikta žemiau.
|
COL1 (et) |
COL2 (ef) |
COL3 (eo) |
COL4 (ep) |
COL5 |
COL6 |
COL7 |
……..……... |
……..…….. |
COL N |
|
1 |
0 |
0 |
0 |
1 |
-1 |
1 |
…….. |
…….. |
1 |
|
0 |
1 |
0 |
0 |
1 |
1 |
1 |
…….. |
…….. |
0 |
|
0 |
0 |
1 |
0 |
-1 |
0 |
0 |
…….. |
…….. |
0 |
|
……. |
…….. |
…….. |
…….. |
……. |
…….. |
…….. |
…….. |
…….. |
…….. |
|
…… |
……. |
…….. |
…….. |
……. |
…….. |
…….. |
……... |
……. |
…….. |
|
0 |
0 |
0 |
1 |
0 |
0 |
0 |
…….. |
…….. |
0 |
Pirmosios 4 stulpelių reikmės gali būti tik nulis arba vienetas. Nulis reikia, kad pacientas ta liga neserga, vienetas - kad serga. Tokių pacientų yra daug.
Kituose likusiuose stulpeliuose yra nurodytos iorinių faktorių reikmės, kurios naudojamos paciento diagnozės prognozavimui. iuo atveju buvo įrayti testavimo metu gauti rezultatai (paciento atsakymai) - netransformuoti parametrų erdvėje, kadangi ARMA modelis pajėgus dirbti ir su tiesioginiais duomenimis.
ARMA rezultatai
Buvo testuoti 275 pacientai, sergantys epilepsija ir įvairiomis jos formomis. Kaip minėjau, prognozė galio būti interpretuojama, kaip didžiausia tikimybė, gaunama vykdant ARMA programą. Žemiau pateikiamoje lentelėje yra parodyta kaip pasiskirstę prognozės ir tikrosios reikmės 20 testuotų pacientų.
|
Nr. |
Diagnozė |
Prognozė |
ET |
EF |
EO |
EP |
|
Sveikas |
Et |
1.509892e-01 |
-1.189741e-01 |
-2.919992e-02 |
-1.820946e-01 |
|
|
Eod |
Eo |
1.886908e-01 |
9.794614e-02 |
3.065645e-01 |
4.273058e-02 |
|
|
Eo |
Ep |
9.799175e-02 |
-1.520614e-01 |
-3.241139e-01 |
2.787621e-01 |
|
|
Eo |
Et |
1.381432e-01 |
-6.728520e-02 |
-2.187187e-02 |
-2.247754e-01 |
|
|
Eo |
Ep |
1.867008e-01 |
3.613798e-01 |
2.984832e-01 |
5.163154e-01 |
|
|
Ep |
Ep |
2.394852e-01 |
9.373704e-02 |
2.253502e-01 |
2.768653e-01 |
|
|
Et |
Et |
-1.399643e-01 |
-2.383704e-03 |
-2.176949e-01 |
-4.075349e-02 |
|
|
Ets |
Ep |
-1.016782e-01 |
4.434056e-01 |
4.260299e-01 |
4.897108e-01 |
|
|
Etd |
Ep |
-3.663416e-01 |
-1.586674e-01 |
-9.755649e-02 |
-1.235464e-01 |
|
|
Etd |
Ep |
2.947507e-01 |
1.999762e-01 |
3.020861e-01 |
1.516019e-01 |
|
|
Eps |
Et |
2.316205e-01 |
-7.927245e-02 |
-8.664021e-02 |
-2.716488e-01 |
|
|
Eps |
Ep |
1.217162e-01 |
9.775024e-02 |
1.171697e-01 |
1.406363e-01 |
|
|
Eg |
Et |
1.217162e-01 |
9.775024e-02 |
1.171697e-01 |
1.406363e-01 |
|
|
Ef |
Ef |
-2.746366e-02 |
2.703258e-01 |
1.107945e-01 |
1.597246e-01 |
|
|
Efs |
Eo |
5.770401e-01 |
-1.299696e-01 |
5.985208e-02 |
1.057349e-01 |
|
|
Efs |
Ef |
-2.219141e-02 |
6.536685e-02 |
1.583071e-01 |
3.362843e-01 |
|
|
Eod |
Ef |
1.414413e-01 |
9.009773e-04 |
1.066596e-01 |
6.441659e-03 |
|
|
Eod |
Eo |
-2.396570e-01 |
1.852168e-02 |
7.280977e-02 |
1.703779e-01 |
|
|
Eod |
Eo |
3.103003e-01 |
-2.635842e-02 |
1.418652e-01 |
3.878875e-02 |
|
|
Sveikas |
Et |
7.576772e-02 |
-4.370721e-02 |
-8.999506e-02 |
9.329901e-02 |
Lent.3
Taigi remiantis gautais rezultatais galima teigti, kad ARMA paprastos regresijos modelis prognozuoja pacientus sergančius temporalinės skilties epilepsija su 70 procentų paklaida, o visus kitus - su 30 procentų paklaida. Tai yra paradoksalu, kadangi temporalinės skilties epilepsija sergančių pacientų yra didžioji dauguma, bet tai, matomai, galima aikinti tuo, kad ARMA yra labai "jautrus" bei galimi dideliais nukrypimais temporalinės skilties epilepsijos diagnozavimo atveju, kuriems, kaip žinoma, mažiausių kvadratų metodai, tame tarpe ir AR, yra labai jautrūs. Nukrypimas čia suprantamas kaip skirtumas tarp realios diagnozės ir prognozės.
Apibendrinant CHARADE ir ARMA rezultatus galima daryti ivadą, kad CHARADE dirba geriau, kadangi tai yra dirbtinio intelekto metodas, kaip tik tuos didelius nukrypimas "paslėpdamas".