Next: Examples of MSE
Up: Time Scale Version, Vector
Previous: Estimation Procedures
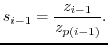
We predict the hourly call rates for the next day. The predicted call rate
of the hour
of the next day
is expressed this way
 |
|
|
(138) |
Here
is the call rate of the hour
of the day preceding the next one and
is a scale of the present day
.
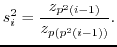
The scales
may differ depending on the impact of SE felt at the day
: working day, Saturday, Sunday, Christmas day, marketing day e.t.c.
 |
|
|
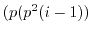
(139) |
We denote by
a subscript of the day preceding the present one. Meaning of the term "preceding" is illustrated by the following examples.
Subsections
mockus
2008-06-21