Next: Method of Least Squares
Up: Vector Prediction, Event Scale
Previous: Examples of MSE
The only difference from the previous example is that impact of "marketing" starts at the sixth working hour of the next day
.
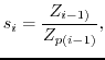
Let us regard PSE as a special sort of SE
and define its scale as
 |
|
|
(134) |
Here
is the subscript of the most recent previous
week when the "marketing" starts on Tuesday at the sixth working hour.
is the subscript of the most recent previous
Monday with no marketing.
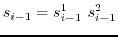
Another way is to regard the impact of PSE is by decreasing the marketing scale
in proportion to the duration of the impact
 |
|
|
(135) |
Here
 |
|
|
(136) |
where
is the subscript of the most recent previous
week when the "marketing" starts at the sixth hour on Tuesday and
is the subsript of the most recent previous
Monday with no marketing.
Expression (2.74) is an example of empirical approach when
a PSE is regarded as a different special event.
Expression (2.75) needs less data but is based on an expert
assumption that scales are proportional to the impact duration.
Next: Method of Least Squares
Up: Vector Prediction, Event Scale
Previous: Examples of MSE
mockus
2008-06-21