Next: Examples of MSE
Up: Vector Prediction, Event Scale
Previous: Vector Prediction, Event Scale
We predict the hourly call rates for the next day. The predicted call rate
of the hour
of the next day
is expressed this way
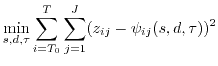
 |
|
|
(128) |
Here
is the call rate of the hour
of the present day
and
is a scale of the next day
.
The scales
may differ depending on the impact of SE felt at the day
: working day, Saturday, Sunday, Christmas day, marketing day e.t.c.
 |
|
|
(129) |
We denote by
the subscript of the nearest previous day similar to the next one. By
we denote the subscript of the nearest previous day similar to the present one. The meaning of "the nearest previous day similar to" is illustrated by following examples.
mockus
2008-06-21