Next: Stopping Monte Carlo
Up: Call Center Model.
Previous: Event Generation
Under independence conditions, the standard deviation
of the results
of a statistical model depends on the number of observations
as
 |
|
|
(91) |
Here
is the "initial" standard deviation and
 |
|
|
(92) |
where
and
denotes the expectation.
In Monte Carlo simulation
cannot be estimated directly using
the results
obtained by the 1-th observation. Many observations are needed to reach a stationary state (one observation means one call). Therefore we repeat the Monte Carlo simulation
times performing
observations each time.
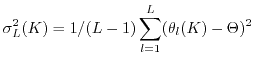
In this case the standard error can be estimated as
 |
|
|
(93) |
Expression (2.33) is much simpler if the exact solution
is known
 |
|
|
(94) |
Therefore first we should consider a model with exact solution while testing a Monte Carlo procedure and only then proceed to more complicated models
hoping that the MC procedure will work well enough.
Subsections
Next: Stopping Monte Carlo
Up: Call Center Model.
Previous: Event Generation
mockus
2008-06-21